SFFI – CFFPP – JustGive, Inc. – IronPlanet, Inc. – ZOPB – Texas DoT’s $1B GrandParkway Project – US Gov’ts Big Banks Bailout|SunTrust (while Fixing Fragile Families?) [First Publ. July 26, 2016. See also my ~>March 3, 2010<~ post].
I’m referencing this topic again Nov. 2017. Accordingly, here’s the post title (updated to show when published and referencing an earlier, March 2010, post also on the topic):
SFFI – CFFPP – JustGive, Inc. – IronPlanet, Inc. – ZOPB – Texas DoT’s $1B GrandParkway Project – US Gov’ts Big Banks Bailout|SunTrust (while Fixing Fragile Families?) [First Publ. July 26, 2016. See also my ~>March 3, 2010<~ post]. (blog-generated, case-sensitive short-link ends “-43Z”)
On doing this, I find it odd timing that CFFP apparently stopped filing tax returns the year or year after I first blogged them.
One type of 2017 Update: Notice that I exported a segment of this post making it now about 8,500 words (with “connective tissue”). It was getting unwieldy and the information at the bottom of the post was among the most complex (bank bailout, and HUD-identified reinsurance kickback scheme, not to mention the $6B profits the US Government made when the bailed out banks paid back “TARP”). Look for this wording (and highlighting) below to see where it was extracted; there is 2016 material below that point:
Substantial Section removed here Nov. 25, 2017, to separate post or page. Either will show up on sidebar when posted again….Shortening the original post length which was (before removal) 12,400 words..by about a third….
The new home to the section repost, is: The Dark Sides (Bottom Line) in Web-based, Donor-Advised Funding: Donor Disclaimers, Buyouts, Emigration (JustGive [US], JustGiving [UK]) and Related Operations (IronPlanet: ZOPB Highway ByPass J.V.) and Bank Bailouts. [A July 26, 2016 section repost].
Another type of 2017 Update is the next comments (some images and even a tax return table are involved) which extend until you see this “Two Days of Updates” title and new background-color with a black-bordered box :
Two Days of Updates, Introduced, within this box.
This post is now
11,50012,300 words. Not including these words explaining why..July 27 and 28 [2016] I added a significant portion to the front part, including some images and more links on CFFPP, a short section on the irony of the California Attorney General having pursued “JustGive” — pretty quickly — on its failure to register as a charity, within about a year, but having let the Alameda County Family Justice Center (staffed in part by District Attorney’s Office, which is naturally under the Attorney General’s Office — which handles the “Registry of Charitable Trusts”) not register for several years after it started up….
…(And two more paragraphs of 2016 commentary in same color background)
Reviewing anything after a time-lapse (here, about 1-¼ years), you’re going to notice more about the original information and of course have an opportunity chance to check back on changes in it since then.
While I didn’t check much of what’s below (except for CFFPP), I did notice, on the exported section and in general, that I’d viewed the dramatically affluent and smart business model (if not the most ethical execution of it) of JustGive.org and said it had possibly become “JustGiving.org” after being caught soliciting unregistered in the State of Utah, Spring 2016. So I’d viewed the one organization as having moved overseas, particularly after reading a California AG (Attorney-General) approved permission to dispose of most of its assets, probably in settlement of the Utah litigation. There may be some evidence (for example in founding documents) I’d seen back then that do not remember just now, but I should add that…
However,…checking back now in 2017, I see no evidence that “JustGive” ever did that, although no question there has been a “JustGiving” based in the UK doing business in the USA since then. Regarding JUSTGIVE (on one hand) and “JG US INC dba in California as “JustGivING CA”…
Recent printout from California’s OAG for the JustGIVE entity:

JustGive.org, Calif OAG, viewed Nov. 2017, still current. EIN# is now displayed on these search results, and is: #943331010
And another (FY2016 which is FY205) tax return for JustGIVE has shown up. Added to what’s in this post below, that’s now, all four years:
Search Again.
| ORGANIZATION NAME | ST | YR | FORM | PP | TOTAL ASSETS | EIN |
|---|---|---|---|---|---|---|
| JustGive | CA | 2016 | 990 | 448 | $4,428,472.00 | 94-3331010 |
| JustGive | CA | 2015 | 990 | 1291 | $3,673,878.00 | 94-3331010 |
| JustGive **Actually this link now only has two pages uploaded to it, despite showing “56” in col. “PP” | CA | 2014 | 990 | 56 | $3,512,788.00 | 94-3331010 |
| JustGive | CA | 2013 | 990 | 56 | $3,906,182.00 | 94-3331010 |
ABOVE, Page counts: It shouldn’t take long to figure out that a tax return with first 56, then 56 (exactly) again the next year, then 1,291, then 448 pages is doing something differently meanwhile. That difference is mostly on the way its grants are reported — first, illegibly fine print (56pp, sample is in the post below), then ONE per page sorted not alphabetically, or by category, or by location, but by lowest-to-highest amount of pass-through donations, starting with about $5,000. Alternating from too small to too dispersed across the pages, it then goes to one per page (FYE2015, 1,291pp tax return), then (if you think about 12 / 4 = 3) to “only” 448″pp when there are 3 grantees shown/page.
Meanwhile California Entity C3911707 “JustGIVING CA” (the London, England-based operation) dba as JG US Inc (see colorful next image taken from this post below) isn’t showing a tax return — because it’s not a tax-exempt entity (!) How I connected one to the other is and to “Iron Planet” as referenced in this post title, is explained in more detail far below (look for section on “I do” website operated by JustGive which says the assets are held by JG US Inc.) [some links are broken but others exist saying the I Do Foundation merged with JustGive in 2009]. Links in other articles where provided went to a (i.e., cheap) “GoDaddy.com” website whose certificate expired (last week, 2017).
The other connection was through registered agents which have, I see, changed since then…
Again, I couldn’t find any tax return on this one for a very basic reason — it’s a foreign stock corporation (not “nonprofit” — nonprofits by definition don’t issue stock; they are nonstock corporations). Something you may notice the old version of the Secretary of State Business Search did not give up on its “detail” Page. This one only registered 5/31/2016, as a Delaware Corporation with a London address. See next two images, after which the July 2016 text starts as signaled above (light-green background color):

JG US Inc (Cal Entity C3911707) dba JustGivingCA Inc (SOState info as of Nov 2017 (cf to as of my July 26 2016 post) | Search Results (2nd page, after click on entity name) Updated SOS website now shows business category and includes pdf images

JG US Inc (Cal Entity C3911707) dba JustGivingCA Inc (SOState info as of Nov 2017 (cf to as of my July 26 2016 post) | Search Results (1st page)
Two Days of Updates, Introduced, within this box.
[This post is now 11,500 12,300 words. Not including these words explaining why..
July 27 and 28 [2016] I added a significant portion to the front part, including some images and more links on CFFPP, a short section on the irony of the California Attorney General having pursued “JustGive” — pretty quickly — on its failure to register as a charity, within about a year, but having let the Alameda County Family Justice Center (staffed in part by District Attorney’s Office, which is naturally under the Attorney General’s Office — which handles the “Registry of Charitable Trusts”) not register for several years after it started up. And whether or not this delay had anything to do with the CEO of that Family Justice Center (complete with soap opera life events) having been married to then-attorney General Bill Lockyer). In an “Exclusive Interview” of 2012 of Nadia Davis Lockyer, some telling quotes on the attraction between public service women lawyers and convicted felons (let alone the life and habits of our local “enforcement” branch of government leadership) are included. …. Not to mention, she admitted to lying on a jail visitation card, and to having put faked emails to falsely accuse her spouse of supplying her with drugs.
I’m not a social scientist (obviously) but it seems to me that this type of behavior is just not typical of most people. I don’t THINK most of the public is drug-addicted, lies when visiting people in jail, cheats on their spouses, and in general, live out-of-control lives and expect to be well-paid, with pensions, for it. Many of us are more directly concerned with the short-term survival, and for homeowners (I’ve not been one, but I can see), not losing their homes. Speaking for people who are even halfway as normal as myself, I would like to state that this woman does not represent my gender — or mothers, in general.
Lastly I also — because it came up in a search result on CFFPP — linked to a year 2010 post I wrote on the same, noticing the collaboration of fatherhood groups & DV professionals on the CFFPP board, however I notice still NEITHER field of practiced breathed a whiff of the existence of HMRF funding, or the word “HHS” although they did briefly reference “TANF.” This withholding is tacit collusion to “NOT TELL” about these significant grants streams, which stack the decks for specific out-comes in the state-jurisdiction family courts. Disgraceful, and we need to pull back the cover on this habit and understand what kind of personality and system is being dealt with when the DV organizations are covering up economic abuse of the public, big-time!
Original Start of this Post:
I thought about calling this post “Don’t Ask – Just Give!” which is obviously the general idea of such on-line funding platforms, but thought it would be more fun to give the preview of the string of associations causing me to seriously question “speed-of-light” online donation platforms, and notice the lack of quality control involved — because at least in this case, JustGive, Inc. was not set up to have any.

(CFFPP.org. See also very bottom of this post for more info, and related posts in this sequence).
And among the many nonprofits JustGive has been passing on funds to through its “DAF” (Donor Advised Fund), one of them, CFFPP, has also demonstrated lack of basic compliance with business entity registration (in Illinois) AND IRS filings (in Wisconsin), where the IRS “Pub. 78” searchable database (showing legit, revoked, and “filed a Form 990-N” postcard organizations) reveals that CFFPP got its IRS# revoked in 2014. Also, the FoundationCenter.org database shows that its filing in 2004 indicating a name change after some sort of reinstatement and moving to a new state, “Just so happened” to reverse the digit “6” for digit “9” and file under the wrong EIN#.
- Were there “accidentally wrong” #s (digital transpositions) for any $$ figures reported, too?
The involved CFFPP Board of Directors individual attached to the wrong? EIN# filing showing address change and name change from Chicago, is their current Treasurer Daniel Ash. This wrong EIN# is on the various Parts of the Return and on the Attachment pages. (Four years’ of CFFPP tax returns under two different EIN#s also shown towards the bottom of this post.)
This Year 2003 filing, Amended because they “inadvertently forgot to include Schedule B” (lists major contributors!) states Primary Exempt Purpose not on the blanks attached, for example, on Part III, Line 1, but as “See Statement 2”, which reads simply:
CFFPP CHALLENGES THE NEGATIVE PUBLIC PERCEPTION OF LOW-INCOME FATHERS, WHO POTENTIALLY HAVE MORE TO CONTRIBUTE TO THEIR CHILDREN IN THE WAY OF SUPPORT
That was a 2003 Amended CFFPP tax return (delivered REAL late and under an accidentally odd EIN#) after the organization, on having been Dissolved or Revoked DEC. 2004, sought to get Re-instated (Feb. 2005) with a Wisconsin Street address and a name less overtly pro-Fathers. Signatures of David Pate, Jr. (for Wisconsin) and Registered Agent Daniel Ash (showing what looks like a University of Chicago street address, no Suite# though).
p17 ONLY, IL (Form NFP112.45:113.60) Appl for Reinstatemt (not stamped %22Rec’d%22)@CFFPP’s Amended FY2003 Return as EIN#394038873 (2nd digit should be %226%22) showing Req for Namchange Signed 2-24-2005 in WI (Certific of Diss:Revoc Dec1,20014 (19pp) (<=click for image).
This was done with an “illustrious” (in several fields) Board of Directors from Chicago, Madison Wisconsin, San Francisco, Boston, and St. Pau Minnesota (Univ. MN), at least two representing the symbolic participation of the domestic violence fields (i.e., Esta Soler, Oliver Williams).
I’d already caught onto that hypocrisy back in a March 3, 2010 post, “CFFPP & FVPF – Where “families” really means “fathers“ but it took longer to navigate the tortuous tangle of economic/corporate chameleonship, a sense & gut instinct developed with a lot of practice over the years. But even then, six years ago, I felt it appropriate to comment:
“I am tired and ornery today, and instead of blogging current news, I’m going to blog “vocabulary news.” Because I believe the gap between theory and practice in the courts is a vocabulary problem. Yes, you heard me right.”
And, even as far back as 2010, and regarding the systemic, organized and coordinated co-opting that language with a view to changing its meaning,
PIONEERS for sure, also ELITISM:
This is unbelievably elitist, and is co-opting the vocabulary in these fields, and transforming them, in part through grants giving them access to “technical aid” and spiffy websites, logos, conferences, and so forth — things single mothers, meanwhile stuck in the family law system fishnet, are often hard put to find.Meanwhile, the family law system professionals ALSO collaborate, among each other, and again, not seeking litigant input. That’s AFCC and friends.
[[Post incomplete, portions were lost: to be finished later. FVPF is also, FYI, collaborating with AFCC: search the site for “family law” and a link will come up. Makes you think!]]
Again, Simple Solutions are often the best: I still think Jack Straton’s idea that abusive fathers just shouldn’t be around kid, is a great one. The whole concept of trying to reconcile “fatherhood” with “protection from violence against women and children” is just trying to straddle things that don’t belong together.
No room in this post for much elaboration on Jack C. Straton. Maybe another time….but FYI, Jack C. Straton of “NOMAS” and Portland Oregon wrote the well-known 1992 “What’s Fair for Children of Abusive Men?” (presented at Domestic Abuse Intervention Programs or [header info reads] “Duluth Domestic Abuse Project” conference). Looking for that, I found an article (NO year given, and in a somewhat isolated context at “EuroFem” website) Don’t Create Custody Laws That Facilitate Abuse.
NOMAS posted this “What’s Fair…?” article again on a 11/21/2015 “Latest Posts” section from the info of its webpages, currently looking like this:
-
-
LGBT Couples Therapy with Psychological Abuse November 21, 2015
-
Songs of the Pro-Feminist Men’s Movement November 21, 2015
-
What is Fair for Children of Abusive Men? November 21, 2015 <==<==
-
How Stopping Abuse Saves Billions November 13, 2015
…but (which is also unprofessional) undated, and out of context. I eventually discovered from the footnotes they were quoting the well-known “The Liz Library(™)” posting of the article which itself (see its header info here) cites a 1993 newsletter (fourth edition, 2001) originally from NOMAS. While The Liz Library(™) posted the complete footnotes, the NOMAS (2015) version only had text up through footnote 30 (out of maybe 60) and didn’t show most of those anyhow.
See next image for what I’ll bet looks familiar to may protective mothers, and has been repeatedly reblogged by them (myself included, until I started learning more about the tax returns and federal grants in combo with AFCC — which, I noticed, Elizabeth Kates, Esq. doesn’t exactly bring up — nor does NOMAS. Professional courtesy?)
In the Table of Contents, it shows up right next to a “BMCC” promotion, on a link which ends “nomas.html.” (Click to read header information more carefully).
- = = >ABUSIVE MEN AND CUSTODY What’s fair to children. research on child abuse
- BATTERED MOTHERS CUSTODY CONFERENCE

SO, in 2010, (back to my March 3 post CFFPP & FVPF – Where “families” really means “fathers”) …And after questioning the common usage of “fatherhood practitioner” and “domestic violence advocate” Even back then, I said:
Want to learn something more? (I finally did). Sign up for Guidestar.org (it’s free). ** Check out who’s who, and then check out the financials. In ANY nonprofit, we have a right to see the books. That’s right, folks. You have a right to look at the IRS 990s and demand an explanation of what ANY nonprofit (tax-exempt) organization is doing with its tax-exempt status.
For example, the Family Violence Prevention Fund, per USASPENDING.gov, has received over $32 MILLION in funding. You’d think that would have really reduced violence by now, right?
**Guidestar, since then, I found unwieldy. I prefer (despite its penchant for mislabeling organization names, making EIN# searches also), 990finder.foundationcenter.org. I also sometimes use Citizenaudit.org because, while it doesn’t generate handy-dandy tables of the last three tax returns, it does show returns going back more than 3 years, viewable through pdf, and also the ability for search results including organizations who gave TO an organization as well.
This 2010 post is not on the Table of Contents (it doesn’t go back that far yet). On July 27, 2016, I added a substantial update, with some images and publications by CFFPP to this post. It’s worth a bookmark: March 3, 2010 Let’s Get Honest post, “CFFPP & FVPF – Where “families” really means “fathers” FYI, that was a particularly devastating time in my life, and housed-but-destitute.
Now…
Back to “Don’t Ask — JustGive!,” and, speaking of language transformations on the concept of charity, and giving….
Eventually it becomes clear that the “fast, on-line giving” part means you are contributing to a “Donor Advised Fund” (DAF) indicating a preference, but guess who controls that fund — the organization, not the advisors.
There is a major lack of concern for accountability of the fast-moving funds by such groups — and certainly with JustGive.org (now blended with a UK|London-based on-line platform anyhow, which runs the website). The groups involved, I take it, just do not care that within the US (that is, NOT globally) we might just want to know how our public resources are being used because we contribute towards them through taxation, fees, fines, licenses, and in all manner of public support.
People who sprinkle (or I should say, “spray”) their resources electronically over a vast quantity of nonprofits each year, with lightening-speed electronic agility, and organization founders or website designers with venture-startup funding accelerators internet expertise ought to apply some of those electronic engineering skills to providing something “We the Public” might be able to handle with as much agility and flexibility as the donors are suggested to exercise.
They have forgotten that their own tax-exempt status is a privilege and a private public benefit courtesy the overall population and as such ought to be used with respect for the overall population, USA citizens, including respect for our right to know and our concern for representative government. Not everyone has venture startup DNA in his or her makeup, and those who don’t, working regular jobs, have a need for government with boundaries. As our government is consistently doing “public/private partnerships” not just for major infrastructures — but also for human social services — we deserve a responsible nonprofit sector. The capacity to monitor its ethics should not be further undermined.
Right now, we have nothing of the sort. Part of my purposes in posting so much is to prove this conclusively so we will better understand that “philanthropy” and “charity” may provoke warm fuzzy feelings, but there are certain ways they operate which show, it’s not just love of mankind in operation here.
See Prior Post on SocialPolicySpeak, Middle Section “JUSTGIVE.org” (Some overlap with here). The first logo you see below and its website grabbed my attention amid a bevvy of funders of another Fatherhood-specific group (calling it “Families”). Shown again at the bottom of this page. (or see their “About Us” dropdown menu under “Funders”).
Funding Resources – Center for Family Policy and Practice [http-:cffpp.org:funders: PAGE 2 of 2 only!] ~ Funding Resources – Center for Family Policy and Practice [http-::cffpp.org:funders: PAGE 1 of 2 only!]##### Funding Resources – Center for Family Policy and Practice [http-::cffpp.org:funders: PAGE 1 of 2 only!]
![Funding Resources - Center for Family Policy and Practice [http-:cffpp.org:funders: PAGE 2 of 2 only!]](https://familycourtmatters.org/wp-content/uploads/2016/07/funding-resources-center-for-family-policy-and-practice-http-cffpp-orgfunders-page-2-of-2-only.png?w=270&h=350)

See “https://www.justgive.org/about-us/index.jsp” and that in “…On July 18, 2016 JustGive joined with JustGiving, the world’s largest social giving platform. Headquartered in London, UK, JustGiving has helped 27m people in 165 countries raise $4bn for NPOs and grassroots projects since its launch in 2001. Both JustGive and JustGiving share an identical goal: to grow charitable giving by connecting people with the charities and causes they care most about. Kendall Webb conceived the idea for JustGive in 2000. She had worked in the Internet world for many years, and was a founding member of the successful start-up more.com, but became disillusioned by the focus on profits.”
The List of Foundations contributing to CFFPP includes JustGive. In approximate order by columns, it is (omitting the word Foundation for most): Annie E. Casey (Baltimore), Ford (NYC), The Hill-Snowden (sic — it’s “Hill-Snowdon, at least the separate, $35M Private Foundation.”…wealth from Johnson & Johnson stock, currently into “Making Black Lives Matter” movement…(“The Band-Aid® Company & multi-billionarie global pharmaceutical whose fourth-and fifth-generations have been making scandal and tragedy pages for years) Foundation Fund of the Tides Foundation (SF), W.K. Kellogg, Madison Community Founda’n. Community Shares of Wisconsin, William and Flora Hewlett (Menlo Park, CA — as in “Hewlett-Packard” company), IBM Corporation (not foundation), JustGive, Charles Stewart Mott, Microsoft Corp. courtesy TechSoup Stock, Ms. Foundation for Women (Brooklyn), Open Society Foundation (NYC), Public Welfare Foundation (Washington, D.C.) Sociological Initiatives Foundation (Boston), US Dept. of Justice, Office of Violence Against Women (USDOJ/OVW) in Flint Michigan [??], State of Michigan DHS (Lansing), University of Wisconsin Public Interest Law Foundation (Madison, WI).
<== After reading the yell0w-highlit caption under “JustGive” logo, above left thereby understanding that it’s just merging with an even larger UK group, kindly browse the RAPIDLY accelerating REVENUES (and slower, but still accumulating ASSETS) of this lean, mean, on-line giving machine JustGive, Inc. — shown in the “Details” page of California Charitable Registry, next link:
JUSTGIVE.org EIN#943331010, CHARITABLE DETAILS pages (5pp) See the “Schedule” section… There is a chart, by year — and in each year, the top $$ figure is ‘Assets’ and the second, each year, is “Revenues.” The rows are labeled well enough. Watch the pace of change over time….
- JustGive didn’t register as a charity until prompted to by the OAG Oct. 2000 (this material subsection added to post 7/27/2016). Signature page of its Charity App or date-stamped “Rec’d” as I recall isn’t uploaded to the Calif. OAG website, either..
JUSTGIVE.org section, see this background-color and font
One of the Miscellaneous” labeled documents uploaded to the California OAG site shows JustGive.org, which incorporated 7/15/1999 (shown below on this post), had to be prompted to register as a charity, i.e., over one year later, and apparently as of 10/26/2000 — had not bothered. That’s odd, however, because the corporation’s website claims it only changed its name from “Justgive.COM” in, I believe it was 2009. This letter is addressed to “JustGive, Inc.” The letter below does not provide the official “Inc.” designation.
CA OAG 10-26-2000 to JustGive “Pls Send (Missing) Docts” “You Must Comply With Nonprofit & IRS Laws – Check a Library…” 1pg <==click this link to read image full-size.

After being asked to confirm that their Fiscal Year-end date was December 31 (I guess the default), the company then chose February 28 as their Fiscal Year end….strange….
The first year uploaded Assets/ Revenues showing is YE 2002 (i.e., Fiscal Year 2001). I can see why the state OAG might want to keep an eye on them**:
| **[JustGive] Fiscal End: | 28-FEB-02 |
| Total Assets: | $2,467,863 |
| Gross Annual Revenue: | $1,363,845 |
| RRF Received: | 17-JUL-02 |
Ironic that at the time (in 2000) career politician Bill Lockyer was State Attorney General. About six years later, his (third) wife, Nadia Lockyer-Davis, Esq., was appointed (anointed?) first Executive Director of the Alameda County Family Justice Center (salary, paid from DA’s office, $90,000), which 501©3 then had to also be prompted to register in 2010 and explain themselves, although as such she was a direct employee of the District Attorney’s Office, which I’d presume is under the State Attorney General’s Office….(searchable under “Details” page on the Calif. Charitable Registry, like the one from JustGive.org I’ve just linked to above; on this blog; or if you want to see my write-ups, submit a comment and I’ll reply with a link from a different blog). (FamilyJusticeCenters are public/private partnerships, and a little tricky to track $$ on).
So together, both Lockyers were some of the criminal prosecution / domestic violence leadership over the county (for Bil Lockyer, the whole state) where my family court and DV case were, and from which my kids were stolen on an overnight visitation based on unproven allegations (several). “Exclusive Interview: Nadia Lockyer tells how affair, drugs, and deceit led to downfall; (<==hover-cursor for excerpt) (Omitted from that title: how HER affair, drugs and deceit)….” 4/21/2012 by By Julia Prodis Sulek, copyright Bay Area News Group, posted in Mercury News. READ, this also tells how they met, includes an admission she faked emails accusing her spouse of sending her drugs, and also reveals (this seems to happen in the field) how as a public interest attorney she bonded with a convicted felon, which became the start of that affair in the first place.
Meanwhile, the California OAG didn’t go after the Alameda County Family Justice Center until 2010 for ITS charitable registration– until her (his wife’s) last year working there, per her LinkedIn.

(Image from her LinkedIn) Consultant Previous Alameda County Bd of Supervisors (2011-2012) Ala’mda. Cnty Family Justice Center (1/2007-12/2010) Education: Loyola Law School, Los Angeles [Not on LinkedIn:]Mother of 3 with Mr. Locker incl. twins 12/2015]
Bill Lockyer (Image from his “Wiki”), Civil Service 1973-2014 incl. CA State Treasurer, CA Attorney General, President Pro Tem of California State Senate, and as of Dec. 2015, father of twins in addition to adult daughter from prev. marriage.
“Exclusive Interview: Nadia Lockyer tells how affair, drugs, and deceit led to downfall;
“She met Chikhani in 2010, while she was still working for the Alameda County Family Justice Center and was running for county supervisor, a campaign paid for by a $1.5 million donation from her husband’s political war chest.
She says the relationship didn’t become physical for months, but like being her brother’s caretaker, she was drawn to help Chikhani, an addict with a criminal record for fraud. And he provided something she had been missing in her marriage — “a peer.”{{See 30-year age difference with husband}}. ~ “People I’m sure wonder, why the hell was Nadia involved with this guy?” she wrote in her pre-interview memo. “It was more than just our mutual loves in nature, music, movies and food. It was spiritual.” ~ He promised to give her the second child she always wanted.
Affair unravels
But by last summer and fall, the relationship became explosive and traumatic, jealous and paranoid. Romantic pillow talk turned to screaming accusations, then tearful apologies. “Drugs and alcohol contributed to the drama and chaos of the relationship,” she said, refusing to disclose her drug of choice.
She visited him in jail over the summer, signing in as a defense lawyer, even though she wasn’t his attorney of record, saying Friday she didn’t know the jailhouse policies.”
FYI, for people NOT from here, the soap opera surrounding this marriage and couple never seems to end — but while it was ongoing, SOME more normal, less drug-addled and cheating on their husbands people, including MOTHERS and FATHERS, needed honest services from them, and specifically, Ms. Lockyer, in her official capacity, whether as CEO of the Family Justice Center, or Alameda County Supervisor. We also need people in office who exhibit good sense and discernment, i.e., make better judgments; if they can’t handle their own lives, then why should they continue to be enabled to make judgments on others?
(Seeing the year 2000 Calif. OAG letter to “JustGive”under Lockyer’s Office from 2000 reminded me of the above. “Search the Files of the Calif. Registry of Charitable Trusts EIN# 261141080, and/or see link to its Char. Details above. Interesting as of FYr2014 Assets = double revenues. )
<==Image Link to Full-Size==> AlaCoFJC, May27,2010=FIRSTNoticetoRegister (under AttyGenl EdmundGBrown…)
[end section added 7/27/2016]
Exploring “JUSTGIVE” and related organizations = most of this post.
- The contrast of the level of projects and financing (including federal $4.85 billion bailout of big-bank “SunTrust” in 2008, repaid 2011, consequences still being felt for years, but another syndicate for major ($55M) debt financing provided “IronPlanet” by 2015 — with a $1.04 billion Texas “Grand Parkway” infrastructure (develop, build, maintain) agreement 2012-2013 completed by 2015 — and in 2016 IronPlanet now has a “Holdings” corporation… no question, we have some interesting intersections of groups and movement of money….
Meanwhile CFFPP concerned for the well-being of low-income noncustodial fathers (although it nominally mentions “mothers and fathers” the emphasis is clear) claims proudly to be sponsored by JustGive, and the other foundations, while itself not exactly staying business-registration compliant, or IRS-compliant.
Longer Post Title with parentheticals:
SFFI (Ford Foundation)+CFFPP (@1995 SFFI “Policymaking Arm”|EIN# Revoked|SMALL) JUSTGIVE.org (@1999 one of CFFPP’s MANY sponsors|BIG REVS) + IronPlanet, Inc. (@2000 Online Auctions for Heavy Equipmt|Global=BIG) + ZOPB (Tx/Brazil Joint Venture) + TexasDoT $1B Grand Parkway Project (@2012-15?)+ BAILED-OUT BANKS (Obviously@2008ff – see SunTrust)…
The “IronPlanet, Inc.” factor here as well as the ZOBP are interesting, and good types of information to juxtapose with why we seem to have so many fragile families when we have such major financing poured into hard construction projects that the public, besides funding, will then be asked to pay tolls to access.
“ZOPB” stands for Zachry-Odebrecht Parkway Builders, symbolizing in this mix — and they are indeed IN this mix — the global joint-venture partnerships to invest in US Infrastructure which then will continue to be government-owned, possibly managed by the global partnership for many years, and of course the public will pay on the debt, and in this case, it looks like also pay for access to the roads bypassing Houston, one of the fastest-grown metropolises around. Three segments of highway were mentioned — and I read that they were “non-contiguous frontage roads” meaning, forget avoiding tolls and going local…
On March 22, 2013, TxDOT executed a design-build agreement with Zachry-Odebrecht for the design, construction and capital maintenance of the Grand Parkway in Harris and Montgomery counties (Segments F1, F2, and G).On Sept. 27, 2012, the Texas Transportation Commission conditionally awarded Zachry-Odebrecht to enter into a design-build agreement for the portion of the Grand Parkway in Harris and Montgomery counties.
(THERE it is!)
I came VERY close to leaving this in the middle of the “Do You Know Your Social Science PolicySpeak?” post — but that would’ve been just inhumane…. This one, seeing is believing. Wow.
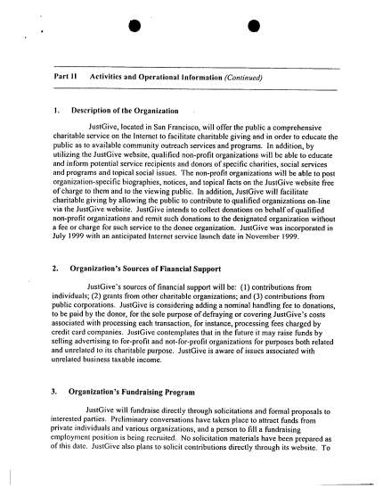
FoundingDox 1999 of JustGive (2BdMembers 7 Employees) 24pp <== The JustGive Founding Dox (from Calif. Charitable Registry) are not 100% complete, but here’s the Description of the Organization, as filed July 15, 1999:

<=== 1. Description reads:
JustGive, located in San Francisco, will offer the public a comprehensive charitable service on the Internet to facilitate charitable giving and in order to educate the public as to available community outreach services and programs. In addition, by utilizing the JustGive website, qualified non-profit organizations will be able to educate and inform potential service recipients and donors of specific charities, social services and programs and topical social issues. The non-profit organizations will be able to post organization-specific biographies, notices, and topical facts on the JustGive website free of charge to them and to the viewing public. In addition, JustGive will facilitate charitable giving by allowing the public to contribute to qualified organizations on-line via the JustGive website. JustGive intends to collect donations on behalf of qualified non-profit organizations and remit such donations to the designated organization without a fee or charge for such service to the donee organization. JustGive was incorporated in July 1999 with an anticipated Internet service launch date in November 1999.
2. Organization’s Sources of Financial Support
JustGive’s sources of financial support will be: (1) contributions from individuals; (2) grants from other charitable organizations; and (3) contributions from public corporations. JustGive is considering adding a nominal handling fee to donations, to be paid by the donor, for the sole purpose of defraying or covering JustGive’s costs associated with processing each transaction, for instance, processing fees charged by credit card companies. JustGive contemplates that in the future it may raise funds by selling advertising to for-profit and not-for-profit organizations for purposes both related and unrelated to its charitable purpose. JustGive is aware of issues associated with unrelated business taxable income.
Originally just two board members (Kendall Webb and Jill Peasley) and seven employees, mostly women, which changes later to mostly men. The first address shown was this mixed-use, kind of modest (?) somewhat elegant (?), Pacific Heights (SF Neighborhood) property.
Factoid: “Kendall Webb” could apply to a man or a woman. While it may be no relation (or not shown here anyhow), the top search result was of the obituary of an obviously vital man Kendall Webb who lived to be 80 years old (1932-2012), completing a marathon on his 80th birthday — but only making it a few steps past the finish line. The link has an “LDS Stake” reference at the bottom. Fact: That link has no business being on this page other than I think it’s interesting).
WHY THIS RELATES TO SOCIAL SERVICES FOR FRAGILE FAMILIES, and WHY THAT CONCEPT DOESN”T MAKE SENSE JUXTAPOSED TO THESE REALITIES:
JUSTGIVE.ORG as only 1 of the claimed major CFFPP funders:
This section is Light-Blue Background and shows why we should look up, where there is a Non-profit, the possibly (even if not officially) related For-Profit’s activities.
Other than JustGive.Org making it ABUNDANTLY clear we are not encouraged to actually SEE their major grantees on Schedule I (one year lists $31M worth at one entry/page; the previous year (FY2013) lists so many entries per page (Donations – $38M) the print is nearly invisible…and guess whether or not this is an accident. So, if someone wanted to cross-check a recipient for a certain year (like I did) in a pool of donations THIS large….
4a (Code )(Expenses $ 39,232,977. including grants of $ 38,067,249. ) (Revenue$ 1,087,608. )
EDUCATION OF THE GENERAL PUBLIC ABOUT GIVING DONATIONS AND FACILITATION OF THE CONTRIBUTION OF DONATIONS TO QUALIFIED NON-PROFIT ORGANIZATIONS OPERATING IN THE U.S.
Then they can deal with page after page THIS visual representation of who got what, organized from smallest to largest grants (an odd sort order, would you not say?)…. JUSTGIVE.org Form 990 FYr2013 -EIN#943331010 Schedule I Page 27 ONLY out of $38M grantees (smallest $$ first) (<=click to see slightly better image)

I counted about 18 pages of this illegible situation. On the 56-page return (for 2013), these are also showing horizontal, needing to be rotated, and I doubt they are searchable for a specific organization or EIN#, even if no human being could read this without a good magnifying sheet on the pages of printouts.
This is the Pre-Printed IRS form JustGive.org people opted to JUST not use this year, although filling in the data would be a matter of hiring someone to do data entry from their already electronic-format data, no doubt. Or we’re supposed to believe that internet tech whizzes (experts, entrepreneurial tech venture startups focused on on-line deliverables) JUST “couldn’t” do a decent job for the public who MIGHT want to read a legible tax return? ????

And after all the fine print, the bottom line is, “Donor Advised Funds — So We Don’t Subsequently Monitor Use of Funds” As it says on page 50 of this return, image below or click to see as single-page pdf file: JUSTGIVE.org EIN#943331010 Form 990 FYr2013 – Sched. I,Pts III&IV (Page 50) ONLY %22Donor-Advised Fund|No Subsequent Monitoring by Us on Use of Funds%22 (re- $38M grantees!|

Sounds like even if 50% of their donations were to improper or noncompliant organizations, who’d know? Is the IRS going to cross-check them all, every year? So this might not be screened out. The interest is in speed of transactions.
(See below, one of the board members also was founder and CEO of a “PhilanTech” a firm that helps make this happen with such amazing speed….)
BESIDES THESE “MINOR” ACCOUNTABILITY ISSUES…
…..my lookup of the Business Registration (California Sec. or State) street address of registered agent (which happens to be in a town not too far from where I live) uncovered Iron Planet, Inc. which has an overlapping interest in focusing on on-line transaction processing, but for things like tractors and BIG construction equipment.
From there, this section of the post gets into on-line heavy equipment sales and lending arrangements with one of the big 2008 Federal Bailed-Out Big Banks (SunTrust), which I only saw on reading a “Bloomberg.com” Company Profile. Minor details, but informative details.
Leaving this section out would make for a much shorter post, but not raise the questions I want raised — such as WHAT are all these major foundation’s interest in supporting a small nonprofit (CFFPP) whose leadership (co-Director at least some of the years) is associated with the HHS-sponsored, University of Wisconsin (Public University also) – Madison’s Institute for Research on Poverty, which small (despite ALL the funding from the above major foundations, two pages @ two-columns each worth) which “can’t” stay incorporated and and after losing business status in Illinois, moves to Wisconsin and then in Wisconsin for a few years, just doesn’t bother to file IRS tax returns for three years in a row, if not of simply slushing funds THROUGH it, where they might not be seen, or at least, tracked? or of using that nonprofit as a front group for the privately coordinated interests in “Strengthening Fragile Families” while engaged in this type of behavior?
| ORGANIZATION NAME | ST | YR | FORM | PP | TOTAL ASSETS | EIN |
|---|---|---|---|---|---|---|
| JustGive | CA | 2015 | 990 | 1291 | $3,673,878.00 | 94-3331010 |
| JustGive | CA | 2014 | 990 | 56 | $3,512,788.00 | 94-3331010 |
| JustGive | CA | 2013 | 990 | 56 | $3,906,182.00 | 94-3331010 |
- I see fiscal year ends Feb 28, begins March 1, an odd schedule. (and every four years it begins Feb. 29??)
I SEE BY THE “PAGES” COLUMN — HAS GONE TO THE OBNOXIOUS PRACTICE OF SHOWING JUST ONE GRANTEE/PAGE ON THEIR SCHEDULE I, MAKING IT HARDER TO BROWSE AND COMPARE GRANTS AND GRANTEES. THE IRS FORM HAS LINES FOR SEVERAL PER PAGE:
I see it has very little overhead (18 employees) and grants distributed is pretty close to grants received — they are not stockpiling many assets, it seems:
From Page 2, “program service accomplishments” it’s pretty simple:
(Code ) (Expenses $ 31,939,798 including grants of $ 30,659,745 ) (Revenue $ 865,313
Education of the general public about giving donations and facilitation of the contribution of donations to qualified non-profit organizations operating in the U S
Other Income: $519K for Corporate Licensing Fees and $345.9K for site set-up and development fees = $865K. Other than this their main revenue is the $31.6M of Contributions (zero government grants).
This interesting corporation (but there are more of this kind, promoting ON-LINE giving Network for Good, Inc. also comes to mind — although its structure seems more complex) has 10 “Director/Trustees” — all but one are men — and 3 full-time employees, two of them directors, all women, and all paid very moderately:
(10) Kendall Webb 40 00 ……….$43.8K…………… ………………….. Secretary & Executive Director
(11) Heather Davis 32 00 ……….$80.5K………….. ………………….. Director of Finance & Operations
(12) Andrea Lloyd 40 00 …………$131.5…………. ………………….. Director of Programs
“Andrea Benfer Lloyd” — BS in Accounting from U. Maryland/College Park in 1993 — LinkedIn shows she is now working for JustGiving, that is, the even larger on-line giving program based in London….
Pause to Look at the British “equivalent” — also founded by two women, founded around the same time (2001) and with similar name. Coincidence? This model, however, might be a little different:
“Zarine” Lawyer and City (of London) banker,
Anne-Marie Huby, M.D. (“Doctors without Borders,” only in French) co-founder “Justgiving”
Zarine is the founder and CEO of JustGiving. Together with Anne-Marie Huby, she launched the UK’s first online fundraising platform in 2001. A former lawyer and City banker, Zarine holds a BA in law from Cambridge University and was awarded the RSA’s Albert Medal in 2009 for ‘democratising fundraising and technology for charities’. // MD Anne-Marie Huby co-founded JustGiving in 2001,having made her name in London as UK head of the international charity Médecins Sans Frontières. Read Anne-Marie’s thoughts on building a great culture on the Girls In Tech blog.
JustGiving.org is privately held (per its LinkedIn) and doesn’t appear to be NotForProfit. They offer crowdfunding and get 5% and processing fees, but (not having a bank account in the UK), “Please note that you need a UK bank account to raise funds. Learn more” this is their complex suggestion…
Who can set up a Crowdfunding Page?
Anyone with a UK bank account that’s making a positive impact on individuals, communities and the environment.
If you are outside the UK, then you could ask a friend or relative if they’re happy for you to use their details to submit your page. Please note that since the funds would be transferred to them personally, they should be someone you trust will pass the funds over to you.
That’s cute, as well as a few other foibles (probably similar in USA sites) such as pages can only be “live” at most 120 days, and if the pages aren’t live, they can’t transfer. I wonder how many funds end up being lost in that fashion… Someone over-runs four months on a project.
http://pages.justgiving.com/join-us.html (down below all the colors and photos…)
If you’re in the UK and have a charitable registration number, or a Gift Aid number, you can join JustGiving. If you are a charity or non-profit based in Australia, Hong Kong, Netherlands, UAE, South Africa, the USA, Ireland or Canada you can also sign up. Learn more
Other countries (on their list) can also join up:
If you’re in Australia, USA, Netherlands, Canada, Hong Kong, Ireland, South Africa or United Arab Emirates
As long as you’re a registered charity or non-profit organisation in one of they above countries then you’ll be able to join JustGiving. Head to our sign up pages to start the registration process.
Among the most obvious questions might be — who is monitoring the compliance factor for $30M of grants when the grantees are 501©3s with IRS filing responsibilities?
For Schedule F, ony $27K is said to be sent outside the country with this (evasive) description: “The Donor Advised Fund makes grants to charities based on designations of the donor Therefore, there is no subsequent monitoring of the use of the funds by the organizaiton” (sic).
The 1/page fuzzy-print horizontal Schedule I is apparently organized by size of grants – SMALLEST FIRST! and not alphabetically, by region, or in any way easy to peruse. “There oughter be a law” against this practice. Anyhow:
Examples: (The smaller grants were several dozen, it seems, under $6,000 each)
- Wounded Warrior Project, EIN# 20-2370934 – $214K. (in Florida)
- Islamic Relief of USA, EIN# 95-4453134 – $253.6K (in Alexandria, Virginia)
- Second Harvest Food Bank of Santa Clara, EIN# 94-2614101 – $705.9K (in San Jose, California and the largest)
{{Below I found that Don Kendall, Sr. is a retired Pepsico Executive. I’m not sure how his last name became “Kendall Webb’s” first name or the coincidence in names of an in-law….}}
Of the 10 Board of Directors (mostly men), the Chairman of the Board and Treasurer are Douglas Feick and Douglas Mazzucco (total of four officers shown — the other two are Heather and Kendall, also employees). No independent Contractors paid over $100K are listed.
The one woman on the Board of Directors (if first names are any indicator) is Dahna Goldstein
Dahna Goldstein is the Founder and CEO of PhilanTech. Prior to starting PhilanTech, Dahna worked for venture philanthropies, including Ashoka and Blue Ridge Foundation New York, and produced interactive eLearning programs for Global Education Network and Harvard Business School Publishing, including the award-winning “What Is a Leader?” program.
A graduate of Williams College, Dahna also holds a Master of Education degree, with a concentration in technology, from Harvard University, and an MBA from NYU Stern School of Business. She has written extensively about change management and data integration in the nonprofit sector, including a chapter on managing change for technology in “Managing Technology to Meet Your Mission: A Strategic Guide for Nonprofit Leaders” (Wiley 2009).
She serves on the board of JustGive.org and was named one of BusinessWeek’s 25 Most Promising Social Entrepreneurs
Tiny print in the PhilanTech logo shows that it’s now a part of “ALTRUM” and good luck finding a physical address for either of the above on the website. They offer services for “Grantors” “”Grantseekers”
Obviously JustGive.org is focusing on progressive and “sustainability” causes. They advertise being a Certified B company.
Dahna Goldstein’s “PhilanTech” featured at “GoodCompany Ventures” in Philadelphia, which offers consulting for good, sustainable nonprofits philanthropies might want to fund:
GOODCOMPANY VENTURES IS A NON-PROFIT ORGANIZATION THAT PROVIDES EDUCATIONAL SERVICES TO EARLY-STAGE SOCIAL ENTREPRENEURS THROUGH ITS ACCELERATOR AND BUSINESS SEMINARS. GOODCOMPANY VENTURES ALSO PROVIDES CONSULTING AND RESEARCH SERVICES FOR OUR PARTICIPANTS AND PARTNER ORGANIZATIONS. IF YOU ARE LOOKING FOR GOOD COMPANY, THE SUSTAINABILITY CONSULTING FIRM, CLICK HERE.
Good Company, the Sustainability Consulting Firm (not “nonprofit) has a Eugene, Oregon (vs. Philadelphia) address and the above logo.
GoodVentures itself is a “Social Impact Accelerator” company as they describe. See also its Yale (undergrad) Boston U (J.D.) founder Garrett Melby and his other backgrounds. One page says their “four major sponsors” were Bloomberg Philanthropies, Halloran (American Refining Group Hal Halloran), Knight Foundation (interesting history — ever heard of “Knight-Ridder Newspapers”?) and “Impact Hub” which is showing a Vienna, Austria contact address.
Looking for another board member of JustGive (Douglas Mazzucco) I found “
“I Do Foundation” — formed in 2002 (see below) and in 2009 incorporated into “JustGive.com” which apparently then changed its name slightly. This listing of team members shows me the affiliations of the others from JustGive also.
“Our Team” Board of Directors**
Our board mirrors our passion for charitable giving and brings a wealth of insight and expertise to our current operations and our plans for the future.
Ray Dalio
Founder, President & Chief Investment Officer, Bridgewater AssociatesDennis Faust
CTO, Netbooks, Inc.Douglas Feick
Executive Vice President of Finance & Business Affairs, ChoiceStreamDahna Goldstein
Founder and General Manager, PhilanTechDon Kendall, Sr.
Former CEO, PepsiCo, Inc.Douglas Mazzucco
Vice President, Investments, UBSPeter Murray
President, Center for Progressive LeadershipBill Price
Proprietor, Classic Wines, LLCKendall Webb
Founder & Executive Director, JustGiveKey Staff Members
Please refer to JustGive for a full staff list.
**I tinted all those also found on “JustGive” board a different color — as you can see, all but one of them. This is how “I Do Foundation” worked, apparently:
As the nation’s first wedding-focused nonprofit, I Do Foundation helps engaged couples celebrate generously™ by making charity a part of their wedding. I Do Foundation was founded on Valentine’s Day in 2002—and to better serve the wedding sector, became a part of JustGive, the destination for online charitable giving®, in 2009.
I Do Foundation has two primary goals:
- Help couples raise donations for the charity of their choice.
- Change the culture of the bridal industry so that charity becomes an accepted and expected part of weddings.
I Do Foundation is the source for engaged couples who want to bring a charitable and socially conscious focus to their celebration. Through our easy-to-use services and valuable ideas, couples discover eco-chic and no-cost ways to give back through their wedding, making it even more meaningful.
The foundation has already selected their favorite organizations under subject matters labeled:
Children, Youth, and Families
Community Development
Education
Environment
Health
Social Justice
Complete list of our Recommended Groups…
They are progressive, and while couples could choose whatever nonprofit (emphasis on serves low-income or “underserved” populations), first suggested “from this list” then “Subject Matter Fund” (which would go to the favored organizations), or “Option 3” make an independent decision.
The “Terms of Service” tells of another company providing the website service for JustGive.org (which now operates “I Do Foundation”) — JG US, Inc.
Legal Notice
The I Do Foundation website is provided by JG US, Inc., which also operates the website http://www.justgive.org. The Terms of Service for http://www.justgive.org also apply to http://www.idofoundation.org. Charitable wedding giving and other activities on this website shall be subject to those Terms of Service. This includes charitable wedding registries (which are a form of fundraiser or fundraising page, as those words are used in the Terms of Service). Click here to read those Terms of Service.
Among them — I think this may be common in on-line donation sites:
Your donation. Your donation is being made to JustGive. JustGive is a 501(c)(3) charitable organization that operates a Donor Advised Fund (“DAF“), and as such, processes donations and disburses funds as grants to charities based on donor recommendations. Your credit card statement will read “JG US” or “JustGive” and not the recommended charity since your donation is to JustGive’s DAF through the JG US Website.
Much further down on this page, you’ll see an image of a June 30, 2016 “Notice to AG OK” letter, the AG responding to their intent to dispose of “assets” –probably those assets consisted of the website technology, because this group wasn’t (like some community foundations) stockipiling assets. They were expanding their customer base before the decision to export operations to UK ownership.
JustGive will make every effort to forward the donation to the charity you recommend. The Website contains information regarding various charities eligible to receive grants based on donor recommendations received through the Website, but nothing on the Website constitutes a solicitation of donations to any such charity.
The Website enables you to indicate a preference as to how your donation may be used by the charity to whom JustGive regrants it. You acknowledge that such indication is a preference only, and not binding on JustGive or any other charity. …
In other words, JustGive can do what it wants, although it might want to do what you suggest. ALSO in other words, it’s possible to just say, “heck, I’ll let JustGive make a decision.” JustGive on its part (see screenprints to that affect) then tells the public and the IRS they have no control over funds once donated and don’t monitor use because it’s a donor-advised-fund. “Go figure….”
You cannot donate to other DAFs, individuals, or private foundations through the Website. You cannot donate through this site if you are a DAF, private foundation, or a member of the Board of Directors of JG US or JustGive.
The assets held in JustGive’s DAF are that organization’s property, and subject to its exclusive legal control. Grant funds may be used only for charitable purposes and not for the benefit of the donor or donor advisor or other impermissible private benefit.
Talk about “Read the Fine Print” ….
After reading the Terms of Service and about “DAF”s (Donor Advised Funds), I went looking in California for the business registration of “JG US, Inc.” Obviously the designation “US” on any company name implies it may have business elsewhere. So, here, and notice the FILING is only this past May — less than two months ago!
| Entity Number | Date Filed | Status | Entity Name | Agent for Service of Process |
|---|---|---|---|---|
| C3911707 | 05/31/2016 | ACTIVE | JG US, INC. WHICH WILL DO BUSINESS IN CALIFORNIA AS JUSTGIVING CA, INC. | CORPORATION SERVICE COMPANY WHICH WILL DO BUSINESS IN CALIFORNIA AS CSC – LAWYERS INCORPORATING SERVICE |
and the “Details, when clicked on, show the legal domicile (“Jurisdiction”):
| Entity Name: | JG US, INC. WHICH WILL DO BUSINESS IN CALIFORNIA AS JUSTGIVING CA, INC. |
| Entity Number: | C3911707 |
| Date Filed: | 05/31/2016 |
| Status: | ACTIVE |
| Jurisdiction: | DELAWARE |
| Entity Address: | 2ND FL BLUEFIN BLDG 110 SOUTHWARK ST |
| Entity City, State, Zip: | LONDON ENGLAND SELOTA |
| Agent for Service of Process: | CORPORATION SERVICE COMPANY WHICH WILL DO BUSINESS IN CALIFORNIA AS CSC – LAWYERS INCORPORATING SERVICE |
| Agent Address: | 2710 GATEWAY OAKS DR STE 150N |
| Agent City, State, Zip: | SACRAMENTO CA 95833 |
…”London England Selota” ??? “Selael0 Selota” is a SouthAfrican gold miner turned famous jazz musician. From “MusicInAfrica.net” Photo won’t show from url or I’d include it.
Maybe a data entry person at California Secretary of State (or other outsourced contractor…) was listening to his music while inputting the business entity address?
Growing up in rural Limpopo, Selaelo Selota first found work on the gold mines, where he was exposed to the traditional songs and dances of other ethnic groups, inspiring him to become a musician. He worked as an usher at the Market Theatre and a cleaner at Kippie’s Jazz Club in Joburg before studying music at the FUBA Academy and University of Cape Town, graduating in 1997. During this time he formed the groups Meropa and Taola.
His 2000 debut, Painted Faces, sold over 60 000 units and earned him Samas for Best Contemporary Jazz Album and Best Newcomer. It was followed by Enchanted Gardens (2001), Stories Lived and Told (2005), The Azanian Songbook (2006) and Lapeng Laka (2009), which earned him three Sama nominations in 2010. An electric performer, his tours have taken him across African, Europe and North America.
As a producer and composer, he helped launch the careers of Judith Sephuma and others. He established his own labels, Live at the Shack Entertainment and later Soul Truth. In 2009 the University of Southern California invited him for a six-week residency. In September 2013 he released a new album, ‘The Promise’, and embarked on a national tour.
Guitarist, Singer, Producer, Songwriter: http://whoswho.co.za/selaelo-selota-4650
JustGive.Org 1999 Business Incorporation matches (for Registered Agent, also Chairman of the Board as of YE 2015 Tax Return) “IronPlanet, Inc.” in Pleasanton, CA:
Search Business Entity in California @ http://kepler.sos.ca.gov, after that, a Street Address search led to “Iron Planet” information.
| Entity Name: | JUSTGIVE |
| Entity Number: | C2075991 |
| Date Filed: | 07/15/1999 |
| Status: | ACTIVE |
| Jurisdiction: | CALIFORNIA |
| Entity Address: | 312 SUTTER ST, STE 410 |
| Entity City, State, Zip: | SAN FRANCISCO CA 94108 |
| Agent for Service of Process: | DOUG FEICK |
| Agent Address: | 3825 HOPYARD RD, STE 250 |
| Agent City, State, Zip: | PLEASANTON CA 94588 |

Logo from “IronPlanet.com.” Contact address and Suite@ matches registered agent for JustGive.org — Incorporated also the same year, 1999.
Substantial Section removed here Nov. 25, 2017, to separate post or page. Either will show up on sidebar when posted again….Shortening the original post length which was (before removal) 12,400 words..by about a third….
The new home to the section repost, is: The Dark Sides (Bottom Line) in Web-based, Donor-Advised Funding: Donor Disclaimers, Buyouts, Emigration (JustGive [US], JustGiving [UK]) and Related Operations (IronPlanet: ZOPB Highway ByPass J.V.) and Bank Bailouts. [A July 26, 2016 section repost].





Leave a comment